乙烯是重要的化工原料,环氧乙烷用途广泛,可以用于制造乙二醇、合成洗涤剂、表面活性剂、乳化剂、润滑剂、橡胶和塑料等,实现乙烯的高效活化与转化意义重大。
凯发k8环境材料与技术研究中心郝郑平教授团队长期致力于乙烯的催化活化与转化的研究,取得了系列的研究进展与成果(Environ. Sci. Technol. 2008, 42, 23, 8947–8951; J. Am. Chem. Soc. 2010, 132, 8, 2608–2613; Chem. Eng. J., 2018, 347, 808-818; ACS Catal. 2018, 8, 2, 1248–1258.)。相关研究成果受到澳大利亚化学(Chemistry in Australia) 和世界黄金协会 (Word Gold Council) 的好评与关注。
最近,郝郑平教授团队聚焦重要化工过程乙烯定向转化合成环氧乙烷反应,开发了一种基于铝修饰的调控Ag催化剂,通过简单策略实现了高效的乙烯环氧化制环氧乙烷,有望促进乙烯环氧化反应的工业应用。
相关研究成果以“Tailoring the Electronic Metal-Support Interactions in Supported Silver Catalysts through Al modification for Efficient Ethylene Epoxidation”为题发表在Angew. Chem. Int. Ed.期刊上。论文通讯作者是郝郑平、张中申和黎刚刚,第一作者为课题组毕业生杨洪玲。
乙烯选择氧化生成环氧乙烷(EO)是最重要的工业过程之一,环氧乙烷是一种不可替代的化学中间体。Ag被认为是乙烯环氧化最有效的催化剂,且被广泛研究。然而,在乙烯环氧化反应中,EO的高选择性往往需要牺牲乙烯的转化率,因为反应中的两个副反应具有更高的热力学反应焓(乙烯完全氧化,ΔH="-1327 kJ/mol;环氧乙烷完全氧化,ΔH="-1223 kJ/mol)。因此,如何同时实现高乙烯转化率和环氧乙烷选择性依然存在巨大的挑战。
要点1:基于金属载体电子相互作用(EMSIs)实现乙烯环氧化转化率-选择性的平衡突破
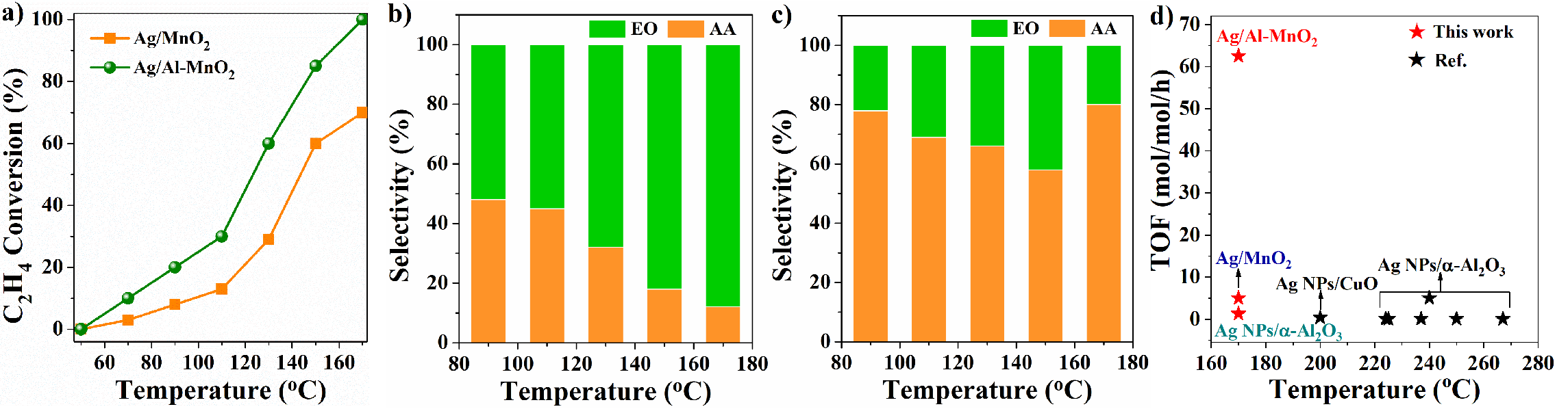
金属修饰进行催化剂结构调控促进催化活性,本研究在MnO2载体中掺杂Al元素实现了Ag物种3d电子结构的调控。通过金属载体电子相互作用调控MnO2载体上Ag的电子结构。研究结果发现Al修饰产生的强金属载体电子相互作用能够促进乙烯环氧化过程关键中间物种氧金属环(OMC)的生成,从而加速了环氧乙烷的产生。

要点2:同时实现催化剂的低Ag负载量与高乙烯环氧化反应催化效率
传统乙烯环氧化催化剂Ag负载量高(10wt.%以上),主要通过添加促剂(Cs、Re、Cu、Au)提升环氧乙烷选择性,然而这样往往牺牲了乙烯的转化率。本研究中通过Al修饰的Ag/Al-MnO2催化剂,在较低的Ag负载量条件下(2.5wt.%),实现了常压温和条件的高环氧乙烷产率。本征活性(TOF值)相比于传统Ag NPs/α-Al2O3和未修饰的Ag/MnO2催化剂提高了48倍和13倍。

要点3:乙烯环氧化反应的构效关系与催化机理的深入揭示
研究证实了催化活性位是以氧化银的形式存在,Al的引入增加了带正电荷的氧化银位点的数量。EMSIs作用促进了Ag/Al-MnO2催化剂上OMC中间物种的生成以及环氧乙烷的脱附,因此极大地提升了环氧乙烷的生成速率。该机理的揭示也有望为其他选择氧化反应中催化剂的设计提供新思路。

原文链接:http://onlinelibrary.wiley.com/doi/10.1002/anie.202400627